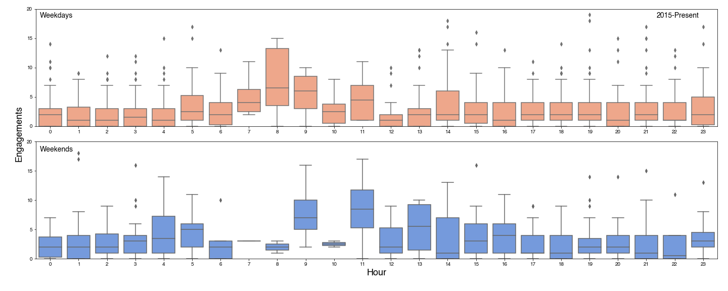
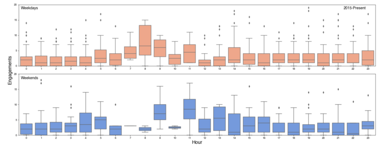
Data visualization : Twitter Engagements vs Time Tweeted for my tweets from 2015 to now [OC]

Twitter Engagements vs Time Tweeted for my tweets from 2015 to now [OC]
By tjburch
At infographic.tv we provide handpicked collection of the best infographics and data charts from around the world.


